Amplificateurs opérationnels rail-à-rail OPAx172 Texas Instruments

Amplificateurs opérationnels rail-à-rail OPAx172 Texas Instruments

Les amplificateurs opérationnels rail-à-rail OPAx172 de Texas Instruments sont des amplificateurs opérationnels à alimentation simple et faible bruit. Ils sont capables de fonctionner sur des alimentations allant de +4,5 V (±2,25 V) à +36 V (±18 V). Ces amplificateurs opérationnels CMOS haute tension offrent différentes options d'alimentation, de bande passante et de bruit pour répondre aux besoins de toute une gamme d'applications. Les OPAx172 sont disponibles en micro-boîtiers et offrent un décalage, une dérive et un courant de repos faibles. Ces dispositifs offrent également une large bande passante, une vitesse de balayage rapide et une capacité de pilotage de courant de sortie élevée. Les versions simples (OPA172), doubles (OPA2172) et quadruples (OPA4172) ont toutes les mêmes caractéristiques pour une flexibilité de conception maximale.

Caractéristiques
  • Large plage de tension d'alimentation : +4,5 V à +36 V, ±2,25 V à ±18 V
  • Faible tension résiduelle : ±0,2 mV
  • Faible dérive de décalage : ±0,3 µV/°C
  • Bande passante gain : 10 MHz
  • Faible courant de polarisation en entrée : ±8 pA
  • Faible courant de repos : 1,6 mA par amplificateur
  • Faible bruit : 7 nV/√Hz
  • Entrées filtrées RFI et EMI
  • Plage d'entrée incluant l'alimentation négative
  • Plage d'entrée fonctionnant en alimentation positive
  • Sortie rail-à-rail
  • Taux élevé de réjection de mode commun : 120 dB
  • Boîtiers standard
    • SOIC-8, VSSOP-8, SOIC-14, TSSOP-14
  • microConditionnements
    • Simple en boîtier SC70, SOT-23
Applications
  • Amplificateur traceur des modules d'alimentation
  • Fournitures pour alimentation commerciales
  • Transducteurs
  • Amplificateurs de pont
  • Mesures de température
  • Amplificateurs pour jauge de contraintes
  • Intégrateurs de précision
  • Équipement de test
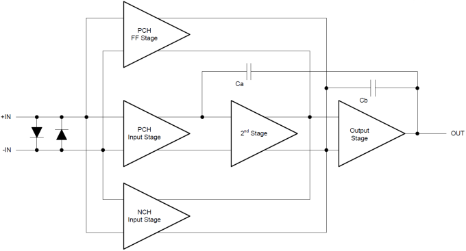
Schéma de principe fonctionnel
Schéma de principe fonctionnel

Modules d'évaluation (EVM) pour les amplificateurs opérationnels universels

Les modules d'évaluation (EVM) pour les amplificateurs opérationnels universels de Texas Instruments sont des cartes de circuits imprimés vierges qui simplifient l'évaluation des amplificateurs opérationnels. Chaque carte de module d'évaluation permet de construire rapidement et facilement de nombreux différents circuits. Chacune de ces cartes dispose d'au maximum quatre zones séparées de développement de circuits qui peuvent être détachées. Elles sont compatibles avec les boîtiers PDIP-8, PDIP-14, PDIP-16, SOIC-8, SOIC-14, SOIC-16, SOT23-6, MSOP-8, MSOP-10, TSSOP-14 et TSSOP-16.


Module d'évaluation (EVM) DIP-Adapter-EVM

Le module d'évaluation (EVM) DIP-Adapter-EVM de Texas Instruments fournit une méthode facile et économique pour faire le prototype de petits CI à montage en surface. Cet adaptateur est compatible avec les boîtiers SOIC-8, TSSOP-8, MSOP-8, SOT23-6, SOT23-5, SOT23-3, SC70-6, SC70-5 et SOT563-6. Il peut être utilisé avec des barrettes de bornes ou être directement raccordé aux circuits existants.

Caractéristiques

Kit Quickstart d'amplificateur de précision AMPQUICKKIT-EVM

Le kit Quickstart d'amplificateur de précision AMPQUICKKIT-EVM Texas Instruments simplifie la sélection d'ampli op, la conception et l'évaluation avec des échantillons de six amplis ops et un module d'évaluation pour le prototypage des CI à montage en surface. Le kit est le parfait point de départ pour vos conceptions d'amplificateur.

Contenu du kit
  • Six échantillons
    • Trois amplificateurs à faible puissance et basse tension
    • Trois amplificateurs à faible puissance et basse tension
  • Prend en charge les types de boîtier SOIC-8, TSSOP-8, MSOP-8, SOT23-6, SOT23-5, SOT23-3, SC70-6, SC70-5 et SOT563-6.
eNews
  • Texas Instruments
Publié le: 2015-04-22 | Mis à jour le: 2022-03-11